
电子皂膜流量计广泛应用于玻璃转子、小孔口流量计等工作计量器具的检定和校准工作。在流量计算时,有的电子皂膜流量计生产厂家考虑了水的饱和蒸汽压,有的没有考虑水的饱和蒸汽压,并且存在水的饱和蒸汽压与温度的数据拟合方法不统一,带来的水的饱和蒸汽压计算结果与实际数据的误差的问题。文章针对此现状,分析考虑和未考虑水的饱和蒸汽压对流量计算及检定示值误差的影响,并以检定玻璃转子的实际案例,分析水的饱和蒸汽压对检定示值误差的影响,并建议电子皂膜流量计以文中数据拟合方法计算水的饱和蒸汽压。
引言
20世纪80~90年代以来,半导体制造业、精细化工、纳米技术,生物医药等领域的迅速崛起,使得气体流量计量朝着小、微方向发展,小流量、微小流量的需求日益凸显[1]。
目前,用于微小流量计量的计量器具主要有皂膜流量计、活塞流量计(根据密封方式不同,可分为石墨式活塞流量计、水银密封式活塞流量计)等。而皂膜流量计成本低,使用便捷,在工业生产、理化分析和科学实验等各个领域有着广泛的应用[2]。
传统的皂膜流量计主要受皂膜管上下刻度线读数示值误差、大气压P和环境温度读数误差、测量时间误差的影响[3]。随着电子工业和传感器技术的发展,电子皂膜流量计采用高精度的温度和压力测量电子元器件,并运用红外传感器和单片机晶振,能够实现温度、压力、时间参数的高精度自动采集,克服了传统皂膜流量计示值误差影响因素。在工作计量器具或检定装置中,已基本全面取代传统皂膜流量计。随着电子皂膜流量计的发展,计量范围也可达到1mL/min~30L/min。本文首先介绍电子皂膜流量计工作,其次推导电子皂膜流量计流量计算公式,再次分析考虑水的饱和蒸汽压和未考虑水的饱和蒸汽压对检定示值误差的影响,***后给出解决问题的方法和建议。
电子皂膜流量计主要由单片机、红外传感器、前置电路、驱动电路、按键、显示器、电源等部分组成。它可实现参数自动采集,数据自动处理,直接显示实际流量,标准状态流量和参比状态流量。其硬件原理和电子皂膜管结构图如图1和图2所示。

图1 电子皂膜流量计硬件原理图 下载原图

图2 电子皂膜管结构图 下载原图
1—发泡球;2—皂膜管;3—上游狭缝;4—发光管;5—皂液;6—进气口;7—接收管;8—金属外壳;9—下游狭缝;10—出气口。
当皂膜通过上游狭缝3时, 发光管发出的光束强度的变化, 使接收管7改变导通状态, 单片机开始计时t1, 当皂膜通过下游狭缝时, 下游接收管改变导通状态, 单片机计时t2, 皂膜在时间 (t2-t1) 内通过皂膜管标定体积VN。根据生产厂家的不同, 单片机可根据现场输入的现场温度、大气压力或是通过压力和温度传感器自动采集的现场温度、大气压力, 自动查询与现场温度相对应的饱和蒸汽压力, 经单片机计算, 可显示实际流量, 标准状态流量和参比状态流量。而部分电子皂膜流量计使用于恒温实验室, 没有进行饱和蒸气压的修正。
干气体通过盛有皂膜液胶球后, 经内壁有液层的皂膜管时, 变成饱和湿气体。皂膜管内的总压力为大气压, 则干气体分压力为:

式中:P为皂膜管处干气体的压力;Pa为大气压力;Psa为检定时气体温度θ下饱和蒸汽压。
检定温度θ下, 皂膜管的容积为:

式中:Vθ为皂膜管在温度θ下的容积;VN为皂膜管在标准状态下的容积;α为皂膜管的线膨胀系数, 对于硼硅玻璃, 3α=1.6×10 (℃) ;θ为检定时皂膜管的壁温。
将此体积按状态方程换算到参比状态下的体积, 则有:

式中:V为标准大气压下的体积;P为干气体分压力, Pa;Tθ为现场温度, K;PS为参比状态下大气压力, Pa;TS为参比状态下温度, K。

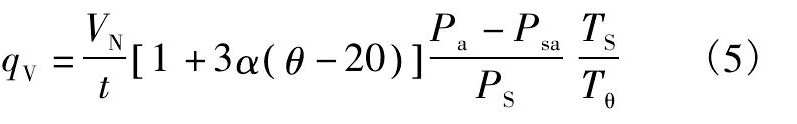
由式 (1) ~式 (4) 可得参比状态下瞬时流量:

由于检定时处于实验室状态, 室温接近20℃, 故忽略温度对皂膜管容积值影响, 式 (5) 可以简化为:

常用参比温度为273.15、293.15、298.15 K, 当参比温度为293.15 K时:

式中:T293.15为参比状态下的温度 (273 K+20℃, 即293 K) ;PS为标准态下的大气压 (101.325 k Pa) ;Pa为现场大气压, Pa;Psa为与现场温度相对应的水的饱和蒸气压, Pa;Tθ为现场温度, K。
其他参比温度下的瞬时流量可据式 (7) 进行类推。在检定工作中发现, 一些电子皂膜流量计的生产厂家, 只针对参比状态下的湿气体进行了气体状态转化, 即以现场大气压进行温度压力修正, 忽略了现场温度下的饱和蒸汽压。在非恒温实验室条件下使用电子皂膜流量计时, 饱和蒸汽压带来的影响是不可忽略的。
本文以实验室下校准体积为20 m L, 测量范围10~1 200 m L/min的电子皂膜流量计为例, 计算水的饱和蒸气压带来的瞬时流量误差。水的饱和蒸汽压表如表1所示。
表1 水的饱和蒸汽压和温度对照表 下载原表

实验室条件下, 设现场温度为20℃。
则不考虑饱和蒸汽压时:

考虑饱和蒸汽压时:

我们地处中原, 实验室大气压力接近于标准大气压, 即Pa=PS=101.325 k Pa, Tθ= (273.15+20) K=TS, 由表1可得Psa=2.338 8 k Pa, 带入式 (9) 可得,
。一台转子, 其测量范围为0.1~1 L/min, 刻度状态为20℃, 101.325 k Pa, 使用介质为空气。在检定过程中使用未考虑饱和蒸汽压补偿的电子皂膜流量计作为标准器的检定数据如表2所示。
表2 不考虑额饱和蒸汽压补偿的检定数据 下载原表

依据检定数据表2, 不考虑饱和蒸汽压和考虑饱和蒸气压瞬时流量换算关系, 可得考虑饱和蒸汽压的检定数据, 如表3所示。
表3 考虑饱和蒸汽压补偿的检定数据 下载原表

未考虑水的饱和蒸气压和考虑水的饱和蒸气压的示值误差对比曲线如图3所示。

图3 误差对比曲线 下载原图
由图3可知, 两种示值误差曲线存在一定的偏移, 即饱和蒸气压修正引入的系统误差。
在使用时如果气源为干气体, 被检流量计使用介质为干气体时, 电子皂膜流量计必须考虑水的饱和蒸气压带来的影响。电子皂膜流量计中饱和蒸气压是由单片机线性插值或数据拟合而来, 通过简单的线性拟合计算出来的蒸汽压与实际数据误差较大, 本文建议采用Pb=6.0×10e, 其中

,Pb为饱和蒸汽压,T为温度。在0~200℃范围内,由此数据拟合的数据与实际数据***大误差为0.8‰[4]。建议在起草新的皂膜流量计检定规程时,将拟合方法放入附录,供厂家参考。